Today, industries such as EV batteries, semiconductors, and medical devices demand extremely high product hermeticity. Therefore, understanding the operating principle of helium-based leak testers is essential. This technology probes the physical behavior of gas flow rather than merely inspecting surfaces. As a result, it can accurately detect defects at the molecular level. Moreover, ULVAC’s HELIOT 900 series has established its leading position thanks to outstanding technical innovations.
Let’s explore the core operating values of this system with ULVAC experts below.
1. Why is Helium an Ideal “Tracer Gas” for Leak Testing?

Helium is selected as the tracer gas for high-end leak testing systems due to its unique physical properties:
- Extremely small atomic size (atomic radius ~31 pm): Easily penetrates ultra-fine leaks that other gases cannot pass through.
- Inert and safe: Non-flammable, non-reactive, ensuring safety for both equipment and operators.
- Low ambient concentration: Helium accounts for only about 5 ppm in the atmosphere, minimizing background noise and ensuring very high measurement accuracy.
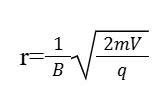
2. Mass Spectrometry Principle – The “Heart” of the Leak Tester
All helium leak detectors operate based on a mass spectrometer analysis chamber. The process consists of three main steps:
- Ionization: Gas molecules entering the analysis chamber are heated by a filament and bombarded with electrons to form positive ions (He⁺).
- Separation by magnetic field: The ions are accelerated through a fixed magnetic field. According to the Lorentz force, their trajectories are bent with a specific radius.

- Quantification: Only ions with a mass number of 4 (helium) pass through a narrow slit to reach the ion collector. Here, an remely small ion current (~10⁻¹⁵ A) is amplified and converted into a leak rate displayed on the screen.
3. Breakthrough Advantages of the ULVAC HELIOT 900 Series

ULVAC has elevated helium leak testing technology with proprietary innovations:
- Ultra Flow Mode: Helium pumping speed up to 5 L/s, reducing takt time. Rapid background signal cleaning enables detection of ultra-small leaks down to < 5 × 10⁻¹³ Pa·m³/sec.
- Smart maintenance: Cartridge-type ion source design allows filament replacement within minutes without specialized tools.
- Wireless control: A 7-inch tablet enables remote operation and monitoring up to 40 meters, making it highly convenient for large systems.
4. Two Common Testing Methods
Depending on the test object, helium leak testing can be implemented in two ways:
Vacuum Method: The test sample is evacuated while helium is sprayed externally. This is the most accurate method for locating very small leaks.

Sniffer Method (Positive Pressure): Helium is filled inside the test sample, and a probe is used to “sniff” for leaks externally. This method is flexible for fully assembled systems.

Conclusion
With 11 generations of continuous innovation, ULVAC is committed to delivering the most accurate, fast, and durable leak testing solutions for your business.
To learn more about Helium Leak Detector, please contact ULVAC’s technical team today.
