Hiện nay, các ngành công nghiệp như pin EV, bán dẫn hay y tế luôn yêu cầu độ kín sản phẩm khắt khe. Chính vì vậy, thấu hiểu nguyên lý của máy leak test sử dụng khí Heli là vô cùng cần thiết. Công nghệ này đi sâu vào bản chất vật lý dòng khí thay vì chỉ kiểm tra bề mặt. Nhờ đó, máy có thể phát hiện chính xác các khiếm khuyết ở cấp độ phân tử. Hơn nữa, dòng HELIOT 900series của ULVAC đã khẳng định vị thế dẫn đầu nhờ những đột phá kỹ thuật vượt trội.
Hãy cùng chuyên gia ULVAC khám phá những giá trị vận hành cốt lõi của dòng máy này ngay sau đây.
1. Tại sao khí Heli là “Chất đánh dấu” lý tưởng để leak test?

Khí Heli được chọn làm khí chỉ thị cho các dòng máy leak test cao cấp nhờ các đặc tính vật lý độc nhất:
- Kích thước nguyên tử cực nhỏ (bán kính nguyên tử chỉ 31pm): Dễ dàng xuyên qua các lỗ rò siêu mịn mà các loại khí khác không thể đi qua.
- Tính trơ và an toàn: Không cháy nổ, không phản ứng hóa học, an toàn cho thiết bị và người vận hành.
- Nồng độ môi trường thấp: Trong khí quyển chỉ chứa khoảng 5ppm Heli. Điều này giúp hạn chế tối đa nhiễu tín hiệu nền, đảm bảo độ chính xác cực cao.
2. Nguyên lý Khối phổ kế (Mass Spectrometer) – “Trái tim” của máy leak test
Mọi máy leak test dùng Heli đều hoạt động dựa trên buồng phân tích khối phổ. Quy trình diễn ra qua 3 bước:
- Ion hóa: Các phân tử khí đi vào buồng phân tích được dây tóc (filament) nung nóng và bắn phá bằng điện tử để trở thành ion dương (He+)
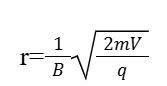
- Phân tách bằng từ trường: Các ion được gia tốc qua một từ trường cố định. Theo lực Lorentz, quỹ đạo của chúng bị bẻ cong theo bán kính:

- Định lượng: Chỉ duy nhất ion có số khối bằng 4 (Heli)mới đi qua được khe hẹp để đến bản thu ion. Tại đây, dòng điện ion cực nhỏ (10⁻¹⁵ A) sẽ được khuếch đại và chuyển đổi thành thông số tốc độ rò rỉ hiển thị trên màn hình.
3. Ưu điểm đột phá trên dòng ULVAC HELIOT 900

ULVAC đã nâng tầm công nghệ máy leak test với những cải tiến độc quyền:
- Ultra Flow Mode: Tốc độ hút Heli lên đến 5L/s, giúp giảm thời gian chờ (Takt time). Làm sạch tín hiệu nền nhanh chóng, cho phép phát hiện các lỗ rò nhỏ đến mức < 5 x 10⁻¹³ Pa.m3/sec.
- Bảo trì thông minh: Thiết kế “Cartridge-type” cho cụm nguồn ion. Thay thế dây tóc chỉ trong vài phút mà không cần dụng cụ chuyên dụng.
- Điều khiển không dây: Máy tính bảng 7 inch cho phép vận hành và giám sát từ xa lên đến 40m, do đó cực kỳ tiện lợi cho các hệ thống lớn.
4. Hai phương pháp kiểm tra phổ biến
Tùy vào đặc điểm vật thử, máy leak test Heli có thể triển khai theo:
- Phương pháp chân không (Vacuum Method): Hút chân không mẫu cần leak test và xịt Heli bên ngoài. Đây là cách chính xác nhất để định vị lỗ rò nhỏ.

- Phương pháp áp suất dương (Sniffer Method): Bơm Heli vào trong mẫu cần leak test và dùng đầu dò “ngửi” bên ngoài. Phương pháp này linh hoạt cho các hệ thống đã lắp ráp hoàn chỉnh.

Lời kết: Với 11 thế hệ không ngừng cải tiến, ULVAC cam kết mang lại giải pháp kiểm tra rò rỉ chính xác, tốc độ và bền bỉ nhất cho doanh nghiệp của bạn.
Để tìm hiểu thêm về các dòng máy leak test Heli (Helium Leak Detector) hãy liên hệ ngay với đội ngũ kỹ thuật ULVAC!
